首页

JGR Atmospheres:煤火区大气有机气溶胶研究中发现化石燃料来源的壬二酸

2023-09-25

煤火主要是指煤炭开采过程中赋存较浅的煤层持续燃烧的一种自然灾害。煤火在世界许多国家和地区均有发生,不仅损失了大量的煤炭资源,而且对生态环境带来严重危害。据统计,我国北方煤田火区达56个,火区总面积达720 km2,累计烧失煤炭量达42亿t。没有经过脱硫脱硝等清洁化处理的原煤燃烧产生的颗粒物和挥发性有机物等物质通过断层、地表裂隙排放进入大气,这些挥发性有机物如何影响区域大气有机气溶胶组分?它们的老化过程和转化机制是怎样的?等等诸多问题有待加强研究。

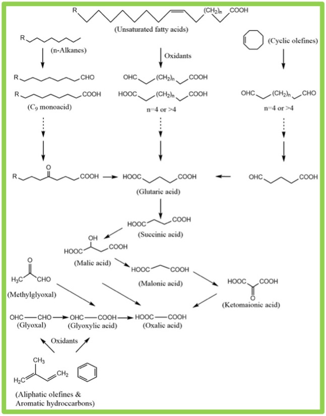
近日,天津大学地球系统科学学院Chandra Mouli Pavuluri教授课题组通过分析煤火区大气气溶胶中无机离子、二元酸及其相关化合物的分子分布和有机单体碳同位素等,发现草酸含量最高,平均占总二元酸的50.8%;含量第二高是邻苯二甲酸(avg. 13.7%)。壬二酸是含量第三高的二元酸(avg. 7.4%),其次是丁二酸和丙二酸。经过统计分析和有机单体的δ13C值表明二元酸及其相关化合物主要来自地下煤火以及原位的二次形成。其中,壬二酸(C9二元酸)的主要前体物来自于地下煤火排放的不饱和脂肪酸的原位光化学氧化(图1)。


1. 二元酸及其相关化合物由煤火产生的前体物在大气中可能的形成和转化途径

相关研究成果以“Distribution and 13C Signature of Dicarboxylic Acids and Related Compounds in Fine Aerosols Near Underground Coal Fires in North China: Implications for Fossil Origin of Azelaic Acid”为题发表在大气科学领域高水平期刊《Journal of Geophysical Research: Atmospheres》上。论文第一作者为地科院徐占杰博士,通讯作者为地科院Chandra Mouli Pavuluri教授。该研究得到国家自然科学基金(项目号:4177512042277090)资助。

文章信息:

Xu, Zhanjie, Zhao, Xiaomai, Li, Peisen, Dong, Zhichao, Sun, Ruoyu, Fu, Pingqing, & Pavuluri, Chandra Mouli (2023). Distribution and 13C signature of dicarboxylic acids and related compounds in fine aerosols near underground coal fires in North China: Implications for fossil origin of Azelaic acid. Journal of Geophysical Research: Atmospheres, 128, e2023JD038748. https://doi.org/10.1029/2023JD038748


相关链接
天津大学 天津大学办公网 天津大学教务处 天津大学研究生院 天津大学图书馆 天津大学人事处
国家防震减灾公共服务平台 天津环渤海滨海地球关键带国家野外科学观测研究站