裂隙岩体在我国分布及其广泛,由于裂隙的结构复杂性、非均质性和各向异性,往往会引起污染物(溶质)在地下水系统中的反常运移。这导致人们很难预测污染物在裂隙岩体中的运移过程和滞留时间,给基岩裂隙区地下水环境污染治理带来了极大挑战。因此,准确预测并量化描述裂隙中的渗流与溶质运移过程对地下工程建设、地下水资源开发利用和环境污染治理等都有非常重要的意义。
传统理论上,溶质运移遵循费克定律,可以用著名的对流-弥散方程(ADE)来描述,对于瞬时注入的溶质,其穿透曲线符合高斯分布。但近30年来基于野外试验、室内实验和数值模拟实验结果,研究者逐渐发现污染物在裂隙岩体中的运移常出现拖尾现象(非费克溶质运移典型特征之一),造成污染物滞留时间超出预期;并且污染物拖尾现象可以用幂函数(C=t-n)来表征,即污染物浓度(C)随时间(t)呈幂指数降低。同时,野外实验和室内实验结果都表明幂指数n变化范围较大。近年来,大量研究开始关注引起n变化的原因和机理,其中裂隙-基质系统中的物质扩散与交换是不可忽略的因素之一。然而裂隙-基质交换如何影响n变化的程度还不明晰,尤其是考虑不同地下水流速和基质宽度。
为了深入理解裂隙-基质扩散交换对拖尾的影响,天津大学地科院王礼春副教授研究团队王俊楠硕士研究生开展了大量的数值模拟研究。通过考虑简单的模型边界条件(图1),开展了不同场景下(改变Reynolds number-Re、Peclet number-Pe、基质宽度h与裂隙宽度b比值)的溶质运移过程模拟研究(图2),并基于溶质时间滞留分布曲线来探讨n变化的趋势(图3),阐明n变化的控制机理。
结果表明:
(1)n随h和Pe的增加而减小,当h和Pe较大时,n趋向于理论解1.5,其它情况下n都会偏离并大于理论解析解(图4)。基于80多种案例结果,该研究建立n和(h:b,Pe)的经验公式,试图解释和预测n在现实条件下的可能取值,同时可以通过n反推基质宽度与传输状态;
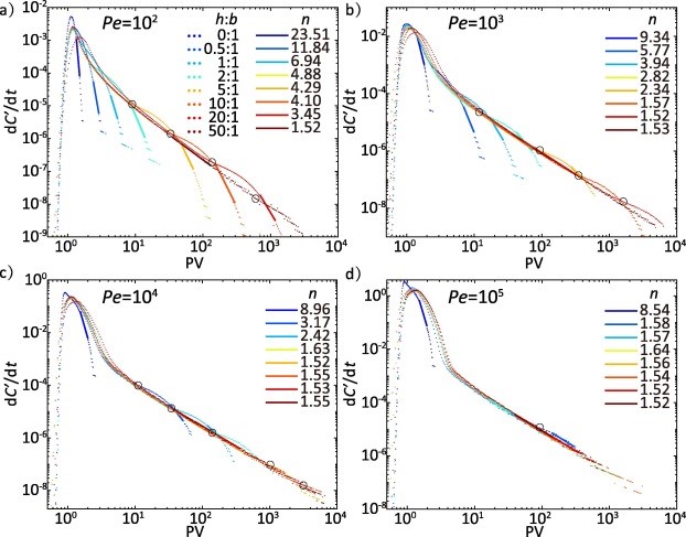
(2)时间滞留分布曲线的另一个显著特征是幂指数n是发生变化的(图3)。通过估算裂隙与基质之间的溶质交换通量Qc(图5),本研究首次发现,时间滞留分布曲线的拖尾幂指数n变化密切依赖于裂隙和基质之间进行的溶质质量交换通量变化,当基质扩散效应减弱时,幂指数n将发生改变。

图1平行板裂隙-基质系统结构示意图

图2 不同基质宽度的三种情况下溶质运移浓度场随时间的变化

图3 不同Peclet数(Pe)裂隙-基质系统出口处时间滞留分布曲线:a) Pe = 102, b) Pe = 103, c) Pe = 104, 和 d) Pe = 105

图4 幂指数(n)与基质宽度(h:b)和Peclet(Pe)数的关系

图5 不同Peclet数(Pe)裂隙-基质界面溶质交换通量随时间的动态变化:a) Pe = 102, b) Pe = 103, c) Pe = 104, 和 d) Pe = 105
本次相关成果以“The coupling effects of matrix thickness and Peclet number on the late time transport tailing in fracture-matrix systems”为题,发表于水文顶级期刊《Journal of Hydrology》,第一作者为天津大学地科院2020级硕士生王俊楠,通讯作者为王礼春副教授。该项工作受国家自然科学基金(401210040)资助。
相关论文信息:
Wang J, Wang L*, Dai J. 2022. The coupling effects of matrix thickness and Peclet number on the late time transport tailing in fracture-matrix systems. Journal of hydrology, 2022: 128829. https://doi.org/10.1016/j.jhydrol.2022.128829
Wang, L. et al., 2022a. The effective pore volume of multiscale heterogenous fracture-porous media systems derived from the residence time of an inert tracer. Journal of Hydrology 610, 127839. https://doi.org/10.1016/j.jhydrol.2022.127839.
Wang, L., Zheng, L., Wang, T., Liu-Zeng, J., Chen, X., 2022b. Development of depth-averaged nonlinear flow model for fractures considering heterogeneity and significant inertial effects. Engineering Geology 309, 106849. https://doi.org/10.1016/j.enggeo.2022.106849.