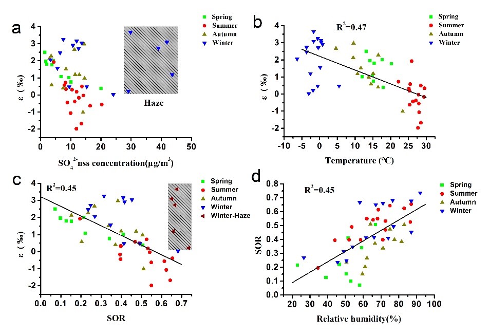
Sulfate aerosols play a critical role in atmospheric chemistry and climate change. However, the mechanism of sulfate formation during haze events remains highly uncertain. In this study, sulfur isotopic compositions of SO2 and sulfate in PM2.5 samples collected in Tianjin, China as well as a Rayleigh distillation model are used to constrain SO2 oxidation pathways. The sulfur isotopic fractionation (ε) between SO2 and sulfate displays a seasonal change with low values in summer (-0.1±1.0 ‰, n=16) and high values in winter (2.1±1.2 ‰, n=16). Although an influence of temperature effect to this seasonal trend cannot be ignored, the relation between ε and SO2 oxidation ratios indicates that the seasonality is mainly attributed to the changes in relative contributions of oxidation pathways. In addition, an elevated ε value has been observed during the first stage of haze event, suggesting that the relative contribution of H2O2 pathway to sulfate formation is higher in haze days than that in normal days. Our results highlight the important role of SO2 oxidation by H2O2 in the first stage of haze event. 

Fig. Influencing factors on sulfur isotopic fractionation between SO2 and sulfate
 
This work was supported by the National Natural Science Foundation of China (Grant Numbers: 41971123 and 42103052).
Article information:
Han, X., Lang, Y.*, Guo, Q., Li, X., Ding, H., Li, S. 2022. Enhanced oxidation of SO2 by H2O2 during haze events: constraints from sulfur isotopes. Journal of Geophysical Research: Atmospheres, 127(13), e2022JD036960. https://doi.org/10.1029/2022JD036960