气质联用仪&气相色谱(GC MS&GC)是挥发性物质定性表征和定量分析的经典仪器。该类仪器具有高分离能力、高选择性、高灵敏度、高通量、检测限低、分析速度快等特点,气相色谱仪主要用于物质的浓度测定,气质联用仪除了浓度测定,还可以提供相对分子质量、结构等信息。
天津大学地球系统科学学院于2019年购置Agilent公司的7200 气相色谱-四极杆飞行时间质谱联用仪( GC QTOF MS)和7890B 气相色谱(GC),2023年购置杭州谱育公司EXPEC 5231气相色谱-三重四极杆质谱联用仪(GC-TQD MS)。
一、气质联用仪—复杂基质痕量挥发性有机物定性定量分析
Agilent公司7200 GC QTOF气质联用仪,色谱部分已升级为全二维色谱,根据检测需求可实现1D/2D灵活转换,全二维色谱相较于一维色谱,具有更高的分离能力、峰容量及灵敏度;飞行时间质谱属于高分辨质谱仪,配置电子轰击电离源(EI)、化学电离源(CI),主要通过对挥发性组分的精确质量数检测进行物质的定性和定量分析,四极杆和TOF联用可通过二级碎片精确质量数测定对未知组分进行进一步的结构研究,全二维色谱使该仪器在复杂基质中物质的定性和定量分析中具有重要应用。目前广泛应用于生命科学、环境科学、大气科学、土壤科学等领域。
仪器关键指标如下:
l 质谱扫描范围:20-1700 amu
l 质谱分辨率:>10000(219,FWHM)
l 灵敏度: EI IDL < 250 fg OFN
l 扫描模式:TOF一级扫描、Q-TOF二级扫描

谱育EXPEC 5231三重四极杆气质联用仪是经典的有机质谱类型,主要应用于挥发性有机物的定性和定量研究,适合复杂基质中痕量目标组分的定量分析,具高灵敏度,高选择性。在环境科学、地球化学、生命科学等领域具有广泛应用。
仪器关键指标如下:
l 质谱扫描范围:5-1100amu
l 质谱分辨率:单位质量分辨率
l 灵敏度: EI 10ppb OFN S/N≥3000
l 扫描模式:一级扫描Scan\SIM,二级扫描SRM\Produt ion等

二、气相色谱—气体组分自动化快捷分析
Agilent公司7890B气相色谱仪,硬件配置主要有色谱柱PQ/DQ/13XMSTO、气体自动进样器、检测器TCD/FID/ECD等。主要聚焦气体含量分析,包括CO2、CH4、N2O等3种温室气体及N2/O2,可实现5min内5种气体的同步分析。广泛应用于土壤、水体、大气中各气体组分的含量变化研究。
仪器关键指标如下:
l 气体组分:CO2/CH4/N2O/O2/N2
l 检出限:CO2: 5ppm;CH4:0.5ppm;N2O:40ppb;O2/N2:5ppm
l 重复性: RSD < 2%(标气)

三、广泛的应用领域和前景
GC MS&GC可对天然的复杂基质样品或者人工合成有机组分进行分析,温室气体等组分的分析,提供样品的定性定量信息。在大气化学、土壤化学、生命科学等领域有广泛的应用前景。实验室目前可开展的测试项目,在定量分析方面主要涉及:植物和土壤中木质素定量分析、土壤中氨基糖定量分析、土壤中正构烷烃定量分析、大气颗粒物中挥发性有机物的定性和定量分析;药学研究中新化合物的定性确证分析,土壤气体呼吸作用研究等等。
部分方法及应用如下:
1. 土壤化学
1.1 木质素和氨基糖类生物标志物
新兴研究表明土壤微生物将植物衍生的碳转化为独特的细胞组分,其残体最后会与土壤中的矿物发生相互作用,进而形成稳定的有机质。有研究使用氨基糖和木质素作为微生物源和植物来源有机碳的生物标志物,借助气相色谱-质谱联用仪,分析了盐度梯度下的土壤/沉积物样品,揭示了不同有机碳组分在滨海湿地土壤中的积累特性和影响因素。

仪器支撑论文:
https://doi.org/10.1021/acs.est.3c08229
https://doi.org/10.1111/gcb.15516
https://doi.org/10.1002/ldr.3720
https://doi.org/10.1111/gcb.15403
1.2 正构烷烃类生物标志物
生物标志物是指环境和地质体中主要由碳、氢等元素组成的有机化合物,能够为有机碳来源提供更加细致和准确的特征信息。正构烷烃作为最丰富、最常见的类脂生物标志物之一,与依据其碳链分布特征衍生的一系列分子指标在有机碳来源示踪中发挥着重要作用。有研究利用气相色谱-质谱联用仪成功建立了正构烷烃的测定方法,并借助正构烷烃、碳氮比和稳定碳同位素共同揭示了天津滨海湿地沉积物有机碳的分布特征和不同来源(陆源、本地源和海源)有机碳对沉积物有机碳的相对贡献,对深入解析天津滨海湿地碳循环过程和碳储存具有重要意义。

仪器支撑论文:
https://doi.org/10.1016/j.scitotenv.2023.169282
2. 降雪中环境污染物研究中的应用
多氯联苯(PCBs)是一类典型持久性有机污染物(POPs),在环境中长期存留并通过多种环境介质进行远距离迁移,对环境安全及人类健康具有严重危害。已有研究表明PCBs在大气中广泛存在,但 在积雪中PCBs的浓度极低,大量积雪样品采集给分析研究带来困难。为了探究积雪中PCBs的含量及分布特征,本研究建立了基于气相色谱-四极杆串联飞行时间质谱(GC-QTOF/MS)测定积雪中28 种PCBs的方法,通过对我国东北典型地区积雪中PCBs的分析发现,积雪中PCBs以五、六氯联苯为主要组成,含量较高的PCB单体为PCB81、128、 126及169,结合已有研究初步推断积雪中PCBs的污染除与PCB历史生产、残留有关外,还与燃烧与热工业过程等有关。

仪器支撑论文:
https://doi.org/10.7522/j.issn.1000-0240.2023.0020
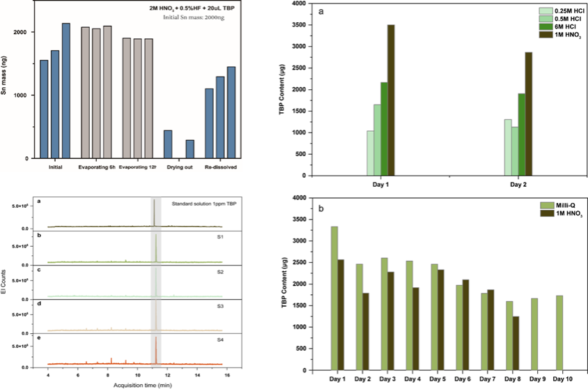
3. 金属同位素化学纯化中的应用
萃淋树脂是金属同位素化学纯化前处理的重要工具,广泛用于高精度金属同位素分析测试的化学前处理流程中。然而,我们在使用TRU萃淋树脂分离纯化锡(Sn)的金属同位素过程中,通过气相色谱-四极杆串联飞行时间质谱(GC-QTOF/MS)对淋滤液中的有机质成分进行定量测试,发现其负载的主要工作成分TBP(Sn的萃取剂)成分始终会在树脂工作过程中大量进入洗脱液,存在系统性缺陷且无法通过简单的预清洗处理解决,严重影响金属同位素测试准确性和精确度。基于此,实验室完成了稳定、高效的Sn同位素化学分析纯化方法。新方法可以在不使用双稀释剂校正技术的情况下,精确、可重复的测试样品中Sn同位素比值,为后续更广泛的Sn同位素应用奠定了技术基础。

仪器支撑论文:
https://doi.org/10.1016/j.scitotenv.2023.169282
4. 农田沟渠甲烷气体排放研究
大量的养分输入刺激了农田沟渠水体中甲烷(CH₄)的产生与排放,是重要的CH₄来源。本研究通过气相色谱分析仪(GC)对甲烷含量进行检测,观测发现,在农业沟渠系统中,CH₄排放贡献了温室气体全球增温潜势(Global Warming Potential, GWP)的86%,其中81%来自于扩散排放,5%来自于冒泡排放。研究强调了农业沟渠作为CH₄热点来源的重要性,尤其是其中扩散排放途径起到的主导作用。

仪器支撑论文:
https://doi.org/10.1016/j.scitotenv.2024.170912
四、联系预约
科学主管(负责仪器方法开发与设备运行保障):
傅平青(教授),电子邮箱:fupingqing@tju.edu.cn
戚羽霖(教授),电子邮箱: yulin.qi@tju.edu.cn
技术主管(负责仪器日常管理、仪器的正常运转与科学使用及样品接收):
付晓丽(工程师),联系电话:022-87371002,电子邮箱:fuxiaoli@tju.edu.cn