大气的整体氧化能力,决定了大气中多种关键过程的速率,如二次有机气溶胶、雾霾的生成速率等。气-液界面是大气化学反应和物质传输的重要场所,而在分子层面上选择性表征气-液界面两亲单层中的氧化过程是一项重大挑战。


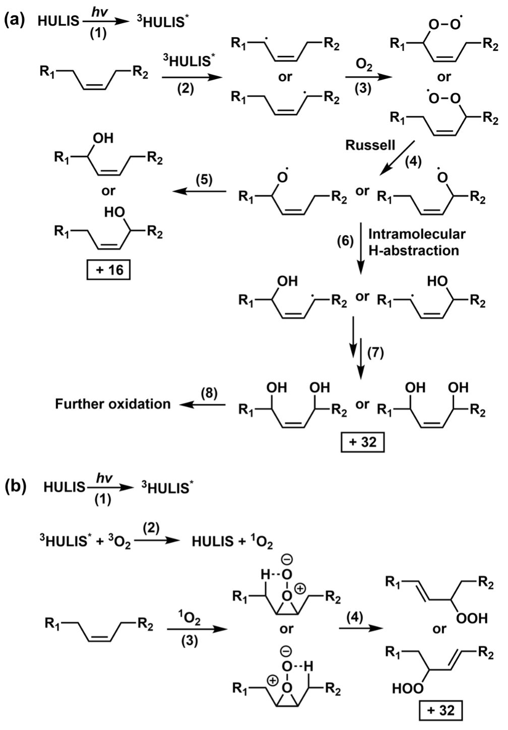
图1. 气-液界面类腐殖质(HULIS)诱导底物的I型和II型光敏氧化机制
近日,我院傅平青教授团队与南开大学张新星教授团队合作,利用超高分辨率傅立叶变换离子回旋共振质谱技术(FT-ICR MS)和场致液滴电离-质谱技术(FIDI-MS),前者能够精准分析大气HULIS组分的原子组成、不饱和度和芳香性等分子特征,后者能够在反应后立即对气-液界面进行选择性的实时原位采样。该研究发现了HULIS在气-液界面具有显著且不同的光敏氧化潜势,在秒到分钟的时间尺度内可氧化与其接触的有机物,揭示了气-液界面HULIS诱导的I型和II型光敏氧化过程,深化了对其在大气二次有机气溶胶形成中重要作用的理解,并进一步凸显了大气界面化学的复杂性和重要性。
我院博士生杨宁和南开大学博士生宫矗为本文的共同第一作者,成果发表在《SCIENCE CHINA Chemistry》上。
文章信息:Ning Yang†, Chu Gong†, Dongmei Zhang, Xufeng Gao, Lifeng Han*, Pingqing Fu* and Xinxing Zhang*.The remarkable but varied photosensitized oxidation by atmos-pheric humic-like substances at the air-water interface. Sci. China Chem., 2024, DOI: 10.1007/s11426-024-2159-6
文章链接:https://www.sciengine.com/SCC/doi/10.1007/s11426-024-2159-6