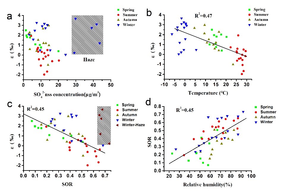
硫酸盐是大气PM2.5主要成分之一,在灰霾形成过程中,硫酸盐迅速生成促使细颗粒物爆发增长,加剧了灰霾发展。然而,目前关于灰霾期间硫酸盐形成机制仍存在很大不确定性。我院郎赟超教授团队通过采集为期一年的大气PM2.5和SO2样品,分析硫酸盐和SO2的硫同位素组成(δ34S),利用瑞利分馏模型,探究了灰霾期间SO2氧化途径。研究结果显示,在灰霾形成初期硫酸盐和SO2之间具有较大硫同位素分馏,主要归因于H2O2氧化SO2作用增强。本研究强调了在灰霾形成过程中SO2被H2O2氧化的重要性。此外,该研究表明,在灰霾事件中SO2和硫酸盐之间的硫同位素分馏系数显著不同于其他天气情况,说明利用硫同位素技术能够揭示灰霾期间硫酸盐快速形成的化学过程。该成果表发于大气科学领域知名期刊Journal of Geophysical Research: Atmospheres上。

图 SO2和硫酸盐之间硫同位素分馏系数的影响因素
上述研究成果从稳定同位素角度揭示了灰霾期间硫酸盐形成机制,研究工作受到国家自然科学基金(项目号:41971123和42103052)资助。
论文信息:Han, X., Lang, Y.*, Guo, Q., Li, X., Ding, H., Li, S. 2022. Enhanced oxidation of SO2 by H2O2 during haze events: constraints from sulfur isotopes. Journal of Geophysical Research: Atmospheres, 127(13), e2022JD036960. https://doi.org/10.1029/2022JD036960
全文链接: https://doi.org/10.1029/2022JD036960